5.5 ªÀiÁ£ÀPÀ
«ZÀ®£É (Standard Deviation):
¦ÃpPÉ:   
¤ÃªÀÅ
ªÁvÁð¥ÀwæPÉUÀ¼À°è E§âgÀÄ QæPÉmï DlUÁgÀgÀ DlzÀ vÀÄ®£É ªÀiÁqÀĪÀÅzÀ£ÀÄß
N¢gÀ§ºÀÄzÀÄ. CªÀgÀÄ K£À£ÀÄß vÀÄ®£É ªÀiÁqÀÄvÁÛgÉ? M§â£ÀÄ E£ÉÆß§â¤VAvÀ
¹ÜgÀªÁVzÁÝ£É CxÀªÁ M§â£ÀÄ E£ÉÆß§â¤VAvÀ ºÉZÀÄÑ PÀ¯ÁvÀäPÀªÁV DqÀÄvÁÛ£É
J£ÀÄßvÁÛgÉ. PÀ¯ÁvÀäPÀvÉ JA§ÄzÀÄ MAzÀÄ «²µÀÖUÀÄt ªÀÄvÀÄÛ CzÀ£ÀÄß ºÉÆÃ°PÉ
ªÀiÁqÀ®Ä PÀµÀÖ. DzÀgÉ CªÀgÀÄ UÀ½¹zÀ gÀ£ÀÄßUÀ¼À DzsÁgÀzÀ ªÉÄÃ¯É CªÀgÀ
¹ÜgÀvÉAiÀÄ£ÀÄß ¯ÉPÀÌ ºÁPÀÄvÁÛgÉ.
ºÁUÁzÀgÉ F «ZÁgÀzÀ°è
¸ÀASÁå±Á¸ÀÛçªÀÅ ºÉÃUÉ ¸ÀºÁAiÀÄPÀªÁVzÉ £ÉÆÃqÉÆÃt. 
ªÀiÁ£ÀPÀ «ZÀ®£É (Standard deviation):
¤ÃªÀÅ «ZÀ®£É
±À§Ý¥ÀæAiÉÆÃUÀªÀ£ÀÄß w½¢gÀ§ºÀÄzÀÄ. (¤AiÀĪÀÄ¢AzÀ «ZÀ®£É, PÉ®¸À¢AzÀ «ZÀ®£É,
¥sÀ°vÁA±À¢AzÀ «ZÀ®£É... EvÁå¢) «ZÀ®£ÉAiÀÄ£ÀÄß AiÀiÁªÀÅzÉà MAzÀÄ ¹ÜgÀ
ªÀiÁ£ÀzÀAqÀPÀÌ£ÀÄUÀÄtªÁV ¯ÉPÀÌ ºÁPÀÄvÉÛêÉ.
‘ªÀiÁ£À’ªÀÅ ¸ÁªÀiÁ£ÀåªÁV
zÀvÁÛA±ÀUÀ¼À ‘¸ÀgÁ¸Àj’ DVgÀÄvÀÛzÉ.
5.5 GzÁ.1:  M§â QæPÉmï DlUÁgÀ£ÀÄ 6
E¤AUïìUÀ¼À°è UÀ½¹zÀ gÀ£ÀÄßUÀ¼ÀÄ: 48,50,54,46,48,54
«zsÁ£À:
G¥ÀAiÉÆÃV¸ÀĪÀ
¸ÀAPÉÃvÀUÀ¼ÀÄ:
X = ¥Áæ¥ÁÛAPÀUÀ¼À
UÀt. (48,50,54,46,48,54)
N = ¥Áæ¥ÁÛAPÀUÀ¼À
¸ÀASÉå (=6)
 =zÀvÁÛA±ÀUÀ¼À ¸ÀgÁ¸Àj
(AM) = (
 =zÀvÁÛA±ÀUÀ¼À ¸ÀgÁ¸Àj
(AM) = ( )/N
)/N
d = ¸ÀgÁ¸Àj¬ÄAzÀ
«ZÀ®£É = X - 
ºÀAvÀ1:
zÀvÁÛA±ÀUÀ¼À ¸ÀgÁ¸Àj PÀAqÀÄ»r¬Äj =
(48+50+54+46+48+54)/6 = 50
ºÀAvÀ
2: d (= X-AM) ªÀÄvÀÄÛ d2 UÀ¼À£ÀÄß ¥Àæw ªÀiË®åPÀÆÌ PÀAqÀÄ»r¬Äj.
¯ÉPÁÌZÁgÀzÀ vÀBSÉÛ.
| ¸ÀA. | gÀ£ÀÄßUÀ¼ÀÄ(X) | «ZÀ®£É(d) = X-  | («ZÀ®£É)2  
  = d2 | 
| 1 | 48 | -2 |  4 | 
| 2 | 50 | 0 |  0 | 
| 3 | 54 |  4 | 16 | 
| 4 | 46 | -4 | 16 | 
| 5 | 48 | -2 |  4 | 
| 6 | 54 |  4 | 16 | 
|  | 
 | 
 | 
 | 
ºÀAvÀ
3: ¥Àæ¸ÀgÀt «ZÀ®£ÉAiÀÄ£ÀÄß ¯ÉPÀÌ ºÁQ = / N
/ N 
ºÀAvÀ
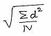
4: ªÀiÁ£ÀPÀ «ZÀ®£É ¯ÉPÀÌ ºÁQ: (SD) =  =
 = 
ªÀiÁ£ÀPÀ
«ZÀ®£ÉAiÀÄ£ÀÄß VæÃPï CPÀëgÀ  (gÉÆÃ) ¢AzÀ ¸ÀÆa¸ÀÄvÉÛêÉ.
(gÉÆÃ) ¢AzÀ ¸ÀÆa¸ÀÄvÉÛêÉ.
ªÀiÁ£ÀPÀ «ZÀ®£É = =
 =  =
=  =
= = 3.05.
 = 3.05.
ªÁåSÉå:
ªÀiÁ£ÀPÀ «ZÀ®£ÉAiÀÄÄ(Standard deviation) ¸ÀgÁ¸Àj¬ÄAzÀ «ZÀ®£ÉUÀ¼À
ªÀUÀðUÀ¼À ªÉÆvÀÛzÀ zsÀ£ÁvÀäPÀ ªÀUÀðªÀÄÆ® DVgÀĪÀÅzÀÄ.
«ªÀgÀuÉ: F ªÉÄð£À
GzÁºÀgÀuÉAiÀÄ°è ¸ÀĪÀiÁgÁV DlUÁgÀ£ÀÄ UÀ½¹zÀ gÀ£ÀÄßUÀ¼À CAPÀUÀtÂvÀzÀ ¸ÀgÁ¸Àj(=50)¬ÄAzÀ 3.05 ( 3 ) gÀµÀÄÖ «ZÀ®£É ºÉÆAzÀÄvÀÛªÉ.
3 ) gÀµÀÄÖ «ZÀ®£É ºÉÆAzÀÄvÀÛªÉ. 
CAzÀgÉ
CxÀð ªÀÄÄA¢£À ¥ÀAzÀåzÀ°è DlUÁgÀ£ÀÄ ¸ÁzsÁgÀt 47-53 {(50-3)-(50+3)} gÀ£ÀÄßUÀ¼À£ÀÄß UÀ½¸À§ºÀÄzÀÄ.
UÀªÀĤ¹: CPÀ¸Áävï DlUÁgÀ£À gÀ£ÀÄßUÀ¼ÀÄ 48,100,50,10,2,80, DVzÀÝgÉ, CªÀ£À ¹ÜgÀvÉAiÀÄ£ÀÄß H»¸À®Ä PÀµÀÖ. DzÀgÉ ªÉÄð£À
GzÁºÀgÀuÉAiÀİè CªÀ£À gÀ£ÀÄßUÀ¼ÀÄ 50gÀ
¸ÀÄvÀÛªÀÄÄvÀÛ EgÀĪÀÅzÀjAzÀ £ÁªÀÅ ªÀÄÄA¢£À ¥ÀAzÀåUÀ¼À°è CªÀ£ÀÄ UÀ½¸À§ºÀÄzÁzÀ
gÀ£ÀÄßUÀ¼À£ÀÄß H»¸À§ºÀÄzÀÄ.
¸ÁªÀiÁ£Àå PÀæªÀÄ:-
¥Áæ¥ÁÛAPÀUÀ¼ÀÄ: X
= {x1, x2 , x3……….. xn} DVgÀ°.
N = ¥Áæ¥ÁÛAPÀUÀ¼À ¸ÀASÉå.
 = CAPÀUÀtÂvÀ ¸ÀgÁ¸Àj(AM)
= (x1+x2 + x3+…… xn)/N=
 = CAPÀUÀtÂvÀ ¸ÀgÁ¸Àj(AM)
= (x1+x2 + x3+…… xn)/N=  / N
/ N
ºÀAvÀ
1: ¥Àæwà ¥Áæ¥ÁÛAPÀPÀÄÌ ¸ÀgÁ¸Àj¬ÄAzÀ «ZÀ®£É PÀAqÀÄ»r. (d=X- ) ªÀÄvÀÄÛ CzÉà jÃw d2ªÀ£ÀÄß PÀAqÀÄ»r.
) ªÀÄvÀÄÛ CzÉà jÃw d2ªÀ£ÀÄß PÀAqÀÄ»r.
ºÀAvÀ
2: ¥Àæ¸ÀgÀt «ZÀ®£ÉAiÀÄ£ÀÄß ¯ÉPÀÌ ºÁQ=
( )/ N
)/ N 
ºÀAvÀ
3: ªÀiÁ£ÀPÀ «ZÀ®£É (SD) ¯ÉPÀÌ ªÀiÁr.
 SD = =
 = 
¥ÀAiÀiÁðAiÀÄ «zsÁ£À: ¸ÀgÁ¸ÀjAiÀÄÄ ¥ÀÇuÁðAPÀªÁUÀzÉÃ
EgÀĪÁUÀ  PÀAqÀÄ»rAiÀÄĪÀÅzÀÄ (Alternate
method of finding
 PÀAqÀÄ»rAiÀÄĪÀÅzÀÄ (Alternate
method of finding , when AM is not a whole number):
, when AM is not a whole number):
ªÉÄð£À
GzÁºÀgÀuÉAiÀÄ°è ¸ÀgÁ¸ÀjAiÀÄÄ MAzÀÄ ¥ÀÇuÁðAPÀªÁVzÉ. ºÁUÁV ¯ÉPÀÌ ªÀiÁqÀ®Ä
¸ÀÄ®¨sÀªÁ¬ÄvÀÄ. DzÀgÉ, CAPÀUÀtÂvÀzÀ ¸ÀgÁ¸ÀjAiÀÄÄ MAzÀÄ ¥ÀÇuÁðAPÀªÁUÀzÉÃ
zÀ±ÀªÀiÁA±À ¸ÀASÉåAiÀiÁzÁUÀ, d2 ªÀ£ÀÄß PÀAqÀÄ»rAiÀÄĪÀÅzÀÄ PÀµÀÖ. CzÀPÁÌV EAvÀºÀ ¸ÀAzÀ¨sÀðzÀ°è £ÁªÀÅ
¨ÉÃgÉAiÉÄà PÀæªÀĪÀ£ÀÄß C£ÀĸÀj¸ÀÄvÉÛêÉ.
1. AiÀiÁªÀÅzÁzÀgÀÆ
MAzÀÄ ¥Áæ¥ÁÛAPÀªÀ£ÀÄß CAzÁdÄ ¸ÀgÁ¸Àj (A ) JAzÀÄ ElÄÖPÉÆ½î. 
2. CAzÁdÄ
¸ÀgÁ¸Àj¬ÄAzÀ «ZÀ®£É D(= X-A)UÀ¼À£ÀÄß
PÀAqÀÄ »r¬Äj.
3.
«ZÀ®£ÉUÀ¼À ªÉÆvÀÛ  PÀAqÀÄ»r.
 PÀAqÀÄ»r.
4. ¥Àæw ¥Áæ¥ÁÛAPÀzÀ
«ZÀ®£ÉUÀ¼À ªÀUÀðªÀ£ÀÄß ¯ÉQ̹ ªÀÄvÀÄÛ F ªÀUÀðUÀ¼À ªÉÆvÀÛ (d2)ªÀ£ÀÄß PÀAqÀÄ »r¬Äj.
£ÉÊd ¸ÀgÁ¸Àj =
CAzÁdÄ ¸ÀgÁ¸Àj+ ( )/N
)/N
ªÀiÁ£ÀPÀ «ZÀ®£É =
 [(
 [( d2)/N - ((
d2)/N - (( d)/N)2]
d)/N)2]
FUÀ £ÁªÀÅ ªÉÄïÉ
£ÉÆÃrzÀ GzÁºÀgÀuÉAiÀÄ£Éßà vÉUÉzÀÄPÉÆAqÀÄ, F «zsÁ£ÀzÀ°è ªÀiÁ£ÀPÀ «ZÀ®£ÉAiÀÄ£ÀÄß
¯ÉPÀÌ ºÁPÀĪÁ.
¥Áæ¥ÁÛAPÀUÀ¼À CAzÁdÄ
¸ÀgÁ¸Àj 54 (A = 54.) JA¢lÄÖPÉÆ¼ÀÄîªÁ. N
= 6.
¯ÉPÁÌZÁgÀzÀ
vÀBSÉÛ.(CAzÁdÄ ¸ÀgÁ¸Àj)
| ¸ÀASÉå | gÀ£ÀÄßUÀ¼ÀÄ(X) | «ZÀ®£É(D)  d= X-A | («ZÀ®£É)2  
  = d2 | 
| 1 | 48 | -6 | 36 | 
| 2 | 50 | -4 | 16 | 
| 3 | 54 | 0 | 0 | 
| 4 | 46 | -8 | 64 | 
| 5 | 48 | -6 | 36 | 
| 6 | 54 | 0 | 0 | 
|  |  | 
 | 
 | 
£ÉÊd ¸ÀgÁ¸Àj =
CAzÁdÄ ¸ÀgÁ¸Àj + ( )/N= 54 + (-24/6) = 54-4 = 50
)/N= 54 + (-24/6) = 54-4 = 50

ªÀiÁ£ÀPÀ «ZÀ®£É=
 [(
 [( d2)/N - ((
d2)/N - (( d)/N)2]
d)/N)2]
 =   [152/6 –(24/6)2]
=
 [152/6 –(24/6)2]
=  (25.33-16) =
 (25.33-16) =  (9.33) =3.05
 (9.33) =3.05
JgÀqÀÆ «zsÁ£ÀUÀ¼À®Æè
ªÀiÁ£ÀPÀ «ZÀ®£É MAzÉà DVzÉ JAzÀÄ UÀªÀĤ¹.
MAzÉà ¥Áæ¥ÁÛAPÀUÀ¼ÀÄ
zÀvÁÛAPÀzÀ°è ºÀ®ªÀÅ ¸Áj §A¢zÀÝgÉ F PÀæªÀÄ vÀÄA¨Á ¸ÀªÀÄAiÀÄ vÉUÉzÀÄPÉÆ¼ÀÄîvÀÛzÉ.
CzÀPÁÌV ¸Àé®à ¨ÉÃgÉ «zsÁ£À C£ÀĸÀj¸ÀÄvÉÛêÉ.
ªÀVÃðPÀj¹zÀ
zÀvÁÛAPÀUÀ¼À°è ªÀiÁ£ÀPÀ «ZÀ®£É:(Standard
Deviation for grouped data):
MAzÀÄ «vÀgÀuÉAiÀİè
¥Áæ¥ÁÛAPÀUÀ¼ÀÄ ªÀÄvÀÄÛ DªÀÈwÛUÀ¼ÀÄ »ÃVªÉ:
| ªÀiË®åUÀ¼ÀÄ(X) ---à | X1 | X2 | X3 | …… | Xn | 
| DªÀÈwÛ
  (f) ------à | f1 | f2 | f3 | …….. | fn | 
N = DªÀÈwÛUÀ¼À ªÉÆvÀÛ = f1 + f2 +
f3 +…….. fn= 
ºÀAvÀ
1: ¥Àæwà ¥Áæ¥ÁÛAPÀPÀÆÌ  f*x PÀAqÀÄ »r¬Äj.
ºÀAvÀ
2: CªÀÅUÀ¼À ¸ÀgÁ¸Àj PÀAqÀÄ»r   = (
= ( )/N
)/N
ºÀAvÀ
3: ¥Àæw ¥Áæ¥ÁÛAPÀPÀÆÌ «ZÀ®£É PÀAqÀÄ»r¬Äj d
= (X- )
)
ºÀAvÀ
4: ¥Àæ¸ÀgÀuÉAiÀÄ «ZÀ®£É PÀAqÀÄ»r¬Äj
= ( (f*d2))/N
(f*d2))/N
ºÀAvÀ
5: ªÀiÁ£ÀPÀ «ZÀ®£É PÀAqÀÄ»r¬Äj: ( ) =
) =  [(
 [( (f*d2))/N]
(f*d2))/N]
5.5 GzÁ. 2:
MAzÀÄ ¥ÀjÃPÉëAiÀİè 60 «zÁåyðUÀ¼ÀÄ UÀ½¹zÀ CAPÀUÀ¼ÀÄ PɼÀV£ÀAwªÉ. EªÀÅUÀ¼À°è ªÀiÁ£ÀPÀ «ZÀ®£É
PÀAqÀÄ»r¬Äj.
| CAPÀUÀ¼ÀÄ(X)    ---à | 10 | 20 | 30 | 40 | 50 | 60 | 
| DªÀÈwÛ(«zÁåyðUÀ¼ÀÄ)(f)--à | 8 | 12 | 20 | 10 | 7 | 3 | 
«zsÁ£À:
N (DªÀÈwÛUÀ¼À
ªÉÆvÀÛ) = = 8+12+20+10+7+3=60
 = 8+12+20+10+7+3=60
| ªÀiË®åUÀ¼ÀÄ(X) | DªÀÈwÛ(f) | fX | ªÀiË®åUÀ¼ÀÄ= d=(X- | d2 | f*d2 | 
| 10 | 8 | 80 | -20.83 | 433.89 | 3471.11 | 
| 20 | 12 | 240 | -10.83 | 117.29 | 1407.47 | 
| 30 | 20 | 600 | -.83 | 0.69 | 13.78 | 
| 40 | 10 | 400 | 9.17 | 84.09 | 840.89 | 
| 50 | 7 | 350 | 19.17 | 367.49 | 2572.42 | 
| 60 | 3 | 180 | 29.17 | 850.89 | 2552.67 | 
|  | N= | 
 |  |  | 
 | 
¸ÀgÁ¸Àj= = (
= ( )/N= 1850/60 =30.83
)/N= 1850/60 =30.83
¥Àæ¸ÀgÀt «ZÀ®£É =
( f*d2)/N = 10858.33/60= 180.97
f*d2)/N = 10858.33/60= 180.97

ªÀiÁ£ÀPÀ «ZÀ®£É: ( ) =
) =  [
 [ (f*d2)/N] =
(f*d2)/N] = (180.97) =13.45
 (180.97) =13.45
wêÀiÁð£À: «zÁåyð
UÀ½¹zÀ CAPÀUÀ¼À ¸ÀgÁ¸Àj = 30.83. «zÁåyðUÀ¼À
CAPÀUÀ¼ÀÄ ¸ÀgÁ¸Àj¬ÄAzÀ 13.45gÀµÀÄÖ
«ZÀ®£É ºÉÆA¢gÀÄvÀÛªÉ.
F ªÉÄð£À
GzÁºÀgÀuÉAiÀÄ°è  ¸ÀgÁ¸Àj zÀ±ÀªÀiÁA±À
¸ÀASÉåAiÀiÁVzÉ. DzÀÝjAzÀ¯Éà d, d2 ªÀÄvÀÄÛ f*d2UÀ¼À°è
zÀ±ÀªÀiÁA±À
¸ÀASÉåUÀ¼ÁVzÀÄÝ ¯ÉPÀÌ PÀµÀÖªÁVzÉ CzÀPÁÌV, E°è ¥ÀAiÀiÁðAiÀÄ «zsÁ£À¢AzÀ ¯ÉPÀÌ
ªÀiÁqÀ¨ÉÃPÀÄ.
¥ÀAiÀiÁðAiÀÄ «zsÁ£À(Alternate
Method)
ºÀAvÀ
1:  zÀvÁÛA±ÀzÀ°ègÀĪÀ
AiÀiÁªÀÅzÉà ªÀiË®åªÀ£ÀÄß ¸ÀgÁ¸ÀjAiÉÄA¢lÄÖPÉÆ½î(A)
ºÀAvÀ
2: ¥Àæwà ªÀiË®åPÀÆÌ F ¸ÀgÁ¸Àj¬ÄAzÀ «ZÀ®£É (d)AiÀÄ£ÀÄß ¯ÉPÀÌ ºÁQ. 
ºÀAvÀ
3: ¥Àæwà ªÀiË®åPÀÆÌ  f*d, d2 ,f*d2 PÀAqÀÄ »r.
ºÀAvÀ
4: ¸ÀgÁ¸Àj ªÀÄvÀÄÛ ªÀiÁ£ÀPÀ «ZÀ®£ÉAiÀÄ£ÀÄß F PɼÀV£ÀAvÉ
¯ÉPÀÌ ºÁQ.
¸ÀgÁ¸Àj = = A +
= A +  /N, N =
/N, N =
ªÀiÁ£ÀPÀ «ZÀ®£É: ( )=
)= [
 [ (f*d2)/N - (
(f*d2)/N - ( (f*d)/N)2
]
(f*d)/N)2
]
FUÀ ªÉÄð£À
GzÁºÀgÀuÉAiÀİè 30 £ÀÄß CAzÁdÄ
¸ÀgÁ¸ÀjAiÀiÁVlÄÖPÉÆ¼ÀÄîªÁ. DUÀ, 
| ªÀiË®åUÀ¼ÀÄ(X) | DªÀÈwÛ(f) | «ZÀ®£É(d) =X-A | f*d | d2 | f*d2 | 
| 10 | 8 | -20 | -160 | 400 | 3200 | 
| 20 | 12 | -10 | -120 | 100 | 1200 | 
| 30 | 20 | 0 | 0 |    0 | 0 | 
| 40 | 10 | 10 | 100 | 100 | 1000 | 
| 50 | 7 | 20 | 140 | 400 | 2800 | 
| 60 | 3 | 30 | 90 | 900 | 2700 | 
|  | N= |  | 
 |  | 
 | 
¸ÀgÁ¸Àj =
A+ ( )/ (N) = 30+50/60 = 30+0.83= 30.83
)/ (N) = 30+50/60 = 30+0.83= 30.83

ªÀiÁ£ÀPÀ «ZÀ®£É( ) =
) =  [
 [ (f*d2)/N - (
(f*d2)/N - ( (f*d)/N)2]
(f*d)/N)2]
=  [(10900/60) – (50/60)2]
 [(10900/60) – (50/60)2]
=  (181.67 - 0.69) =
 (181.67 - 0.69) = (180.97) =13.45
 (180.97) =13.45
«zÁåyðUÀ¼À CAPÀUÀ¼À
¸ÀgÁ¸Àj = 30.83. «zÁåyðUÀ¼À CAPÀUÀ¼ÀÄ
¸ÀgÁ¸Àj¬ÄAzÀ 13 CAPÀUÀ¼ÀµÀÄÖ «ZÀ®£É
ºÉÆAzÀÄvÀÛªÉ.
JgÀqÀÆ
«zsÁ£ÀzÀ®Æè MAzÉà GvÀÛgÀ §A¢gÀĪÀÅzÀ£ÀÄß
UÀªÀĤ¹.
ºÉaÑ£À ¸ÀAzÀ¨sÀðzÀ°è
ªÀVÃðPÀj¹zÀ zÀvÁÛA±ÀUÀ¼À£ÀÄß PÉÆqÀĪÀÅzÀjAzÀ ¨ÉÃgÉ jÃwAiÀÄ°è ªÀiÁ£ÀPÀ
«ZÀ®£ÉAiÀÄ£ÀÄß PÀAqÀÄ »rAiÀĨÉÃPÁUÀÄvÀÛzÉ.
ªÀVÃðPÀÈvÀ
zÀvÁÛA±ÀUÀ¼À°è ªÀiÁ£ÀPÀ «ZÀ®£ÉAiÀÄ£ÀÄß PÀAqÀÄ »rAiÀÄĪÀ PÀæªÀÄ:
ºÀAvÀ
1: ¥Àæw ªÀUÁðAvÀgÀzÀ ªÀÄzsÀå ©AzÀĪÀ£ÀÄß PÀAqÀÄ »r¬Äj.
ºÀAvÀ
2: ¥Àæwà ªÀUÁðAvÀgÀPÀÄÌ  f*x PÀAqÀÄ »r¬Äj.
ºÀAvÀ
3: CAPÀUÀtÂvÀzÀ ¸ÀgÁ¸Àj PÀAqÀÄ »r¬Äj
= = (
= (  )/N, N =
)/N, N = .
 .
ºÀAvÀ
4: ¥Àæwà ªÀUÁðAvÀgÀPÀÆÌ 
¸ÀgÁ¸Àj¬ÄAzÀ  ( ) «ZÀ®£É PÀAqÀÄ »r¬Äj (d=X-
) «ZÀ®£É PÀAqÀÄ »r¬Äj (d=X- )
)
ºÀAvÀ
5: ¥Àæw ªÀUÁðAvÀgÀPÀÆÌ d2  ªÀÄvÀÄÛ
f*d2 PÀAqÀÄ »r¬Äj.
ºÀAvÀ
6: ªÀiÁ£ÀPÀ «ZÀ®£É PÀAqÀÄ »r¬Äj:  ( ) =
) =  [
 [ (f*d2)/N]
(f*d2)/N]
5.5 GzÁ. 3: MAzÀÄ ¥ÀjÃPÉëAiÀÄ°è «zÁåyðUÀ¼ÀÄ UÀ½¹zÀ CAPÀUÀ¼ÀÄ »ÃVªÉ:-
| CAPÀUÀ¼ÀÄ | DªÀÈwÛ(f) | ªÀÄzsÀå ©AzÀÄ(x) | f*x | d=(X- | d2 | f*d2 | 
| 25-30 | 5 | 28 | 140 | -9.2 | 84.64 | 423.2 | 
| 30-35 | 10 | 33 | 330 | -4.2 | 17.64 | 176.4 | 
| 35-40 | 25 | 38 | 950 | 0.8 | 0.64 | 16 | 
| 40-45 | 8 | 43 | 344 | 5.8 | 33.64 | 269.12 | 
| 45-50 | 2 | 48 | 96 | 10.8 | 116.64 | 233.28 | 
|  | N = |  | 
 |  |  | 
 | 
«zsÁ£À:
CAPÀUÀtÂvÀzÀ ¸ÀgÁ¸Àj = =
=  /N = 1860/50 = 37.2
/N = 1860/50 = 37.2

ªÀiÁ£ÀPÀ «ZÀ®£É: ( ) =
) =  [
 [ (f*d2)/N] =
(f*d2)/N] =  (1118/50) =
 (1118/50) =  (22.36) =4.728
 (22.36) =4.728
wêÀiÁð£À:
«zÁåyðUÀ¼À CAPÀUÀ¼À ¸ÀgÁ¸Àj =37.2. «zÁåyðUÀ¼À CAPÀUÀ¼ÀÄ ¸ÀgÁ¸Àj¬ÄAzÀ 5 «ZÀ®£É ºÉÆAzÀÄvÀÛªÉ.
¥ÀAiÀiÁðAiÀÄ «zsÁ£À (ºÀAvÀ - «ZÀ®£ÁPÀæªÀÄ) 
[Alternate
Method (Step – Deviation Method)]:
ºÀAvÀ
1: zÀvÁÛA±ÀUÀ¼À°è ¸ÁzsÁgÀt ªÀÄzsÀåzÀ°ègÀĪÀ ªÀiË®åªÀ£ÀÄß
¸ÀgÁ¸Àj JA¢lÄÖPÉÆ½î (A).
ºÀAvÀ
2: H»¹PÉÆAqÀ ¸ÀgÁ¸Àj¬ÄAzÀ ‘ºÀAvÀ-«ZÀ®£É’ (=d)AiÀÄ£ÀÄß PÀAqÀÄ»r¬Äj:
d=(X-A)/i:
‘i’ ªÀUÁðAvÀgÀzÀ UÁvÀæ.
ºÀAvÀ
3: d2, f*d ªÀÄvÀÄÛ f*d2UÀ¼À£ÀÄß ¥Àæw ªÀUÁðAvÀgÀPÀÄÌ PÀAqÀÄ»r¬Äj.
ºÀAvÀ
4: CAPÀUÀtÂvÀzÀ ¸ÀgÁ¸Àj ªÀÄvÀÄÛ ªÀiÁ£ÀPÀ «ZÀ®£ÉUÀ¼À£ÀÄß
PɼÀV£À ¸ÀÆvÀæzÀAvÉ ¯ÉPÀ̺ÁQ.
CAPÀUÀtÂvÀzÀ ¸ÀgÁ¸Àj: = = A + [
= A + [ /N]*i
/N]*i  

ªÀiÁ£ÀPÀ «ZÀ®£É: ( ) =
) =  [
 [ (f*d2)/N - (
(f*d2)/N - ( (f*d)/N)2]*i
(f*d)/N)2]*i
ªÉÄð£À GzÁºÀgÀuÉ
¯ÉPÀ̪À£ÀÄß F «zsÁ£ÀzÀ°è ªÀiÁqÀĪÁ.
C°è 43£Àß CAzÁdÄ ¸ÀgÁ¸Àj (A) JAzÀÄ
H»¸ÀĪÁ.
i = ªÀUÁðAvÀgÀzÀ UÁvÀæ = 5. 
ºÀAvÀ 1 jAzÀ 3 gÀ jÃvÁå:
| CAPÀUÀ¼ÀÄ | DªÀÈwÛ(f) | ªÀÄzsÀå ©AzÀÄ(x) | d=(X-A)/i | f*d | d2 | f*d2 | 
| 25-30 | 5 | 28 | -3 | -15 | 9 | 45 | 
| 30-35 | 10 | 33 | -2 | -20 | 4 | 40 | 
| 35-40 | 25 | 38 | -1 | -25 | 1 | 25 | 
| 40-45 | 8 | 43 | 0 | 0 | 0 | 0 | 
| 45-50 | 2 | 48 | 1 | 2 | 1 | 2 | 
|  | N = |  |  | 
 |  | 
 | 
CAPÀUÀtÂvÀzÀ ¸ÀgÁ¸Àj = = A+ [
= A+ [ /N]*i = 43 + [(-58/50)*5] = 43 + (-1.16)*5 = 43-5.8 = 37.2
/N]*i = 43 + [(-58/50)*5] = 43 + (-1.16)*5 = 43-5.8 = 37.2
ªÀiÁ£ÀPÀ «ZÀ®£É:
( ) =
) =  [
 [ (f*d2)/N - (
(f*d2)/N - ( (f*d)/N)2]*i
(f*d)/N)2]*i
=  [(112/50)- {-58/50}
2]*5
 [(112/50)- {-58/50}
2]*5
=  [2.24 - {-1.16} 2]*5
 [2.24 - {-1.16} 2]*5
=  [2.24 – 1.3456]*5
 [2.24 – 1.3456]*5
=  [0.8944]*5
 [0.8944]*5
=.9457*5 
=4.728
wêÀiÁð£À:
«zÁåyðUÀ¼ÀÄ UÀ½¹zÀ CAPÀUÀ¼À ¸ÀgÁ¸Àj = 37.2.
CªÀgÀÄ UÀ½¹zÀ CAPÀUÀ¼ÀÄ ¸ÀgÁ¸Àj¬ÄAzÀ 5
CAPÀUÀ¼ÀµÀÄÖ «ZÀ°vÀªÁUÀÄvÀÛªÉ.
¸ÁªÀiÁ£ÀåªÁV ªÀåQÛUÀ¼À
vÀAqÀUÀ¼À ¸ÁzsÀ£ÉAiÀÄ£ÀÄß ºÉÆÃ°¸ÀĪÁUÀ CªÀgÀ ¹ÜgÀvÉAiÀÄ §UÉÎ ªÀiÁvÀ£ÁqÀÄvÉÛêÉ.
¸ÀASÁå ±Á¸ÀÛçzÀ°è F ‘¹ÜgÀvÉ’AiÀÄ£ÀÄß ºÉÃUÉ UÀÄgÀÄw¸À§ºÀÄzÀÄ?
F ¹ÜgÀvÉAiÀÄ£ÀÄß ¯ÉPÀÌ
ªÀiÁqÀ®Ä “ªÀiÁ¦ð£À UÀÄuÁAPÀ”(Co efficient of variation) ªÀ£ÀÄß §¼À¸ÀÄvÉÛêÉ. EzÀÄ ºÀgÀ«£À MAzÀÄ ¸Á¥ÉÃPÀë C¼ÀvÉAiÀiÁVzÉ. EzÀ£ÀÄß
F PɼÀV£À ¸ÀÆvÀæ¢AzÀ ¯ÉPÀÌ ºÁPÀÄvÉÛêÉ.
ªÀiÁ¦ð£À UÀÄuÁAPÀ =
ªÀiÁ¦ð£À UÀÄuÁAPÀ*100/¸ÀgÁ¸Àj.
DzÀÝjAzÀ ªÀiÁ¦ð£À
UÀÄuÁAPÀªÀÅ ªÀÄÆ®ªÀiÁ£ÀUÀ½AzÀ ªÀÄÄPÀÛªÁzÀ MAzÀÄ ¸ÀASÉå. EzÀ£ÀÄß ¸ÁªÀiÁ£ÀåªÁV
±ÉÃPÀqÁ gÀÆ¥ÀzÀ°è ¸ÀÆa¸À¯ÁUÀĪÀÅzÀÄ. ±ÉÃPÀqÁ ¥ÀæªÀiÁt PÀrªÉÄAiÀiÁzÀµÀÄÖ ¹ÜgÀvÉ
ºÉZÀÄÑ. ¸ÀgÁ¸ÀjUÉ ºÉÆÃ°¹zÁUÀ ªÀiÁ£ÀPÀ «ZÀ®£ÉAiÀÄÄ aPÀÌ ¸ÀASÉåAiÀiÁzÀgÉ,
ªÀiÁ¦ð£À UÀÄuÁAPÀ PÀrªÉÄAiÀiÁUÀÄvÀÛzÉ.
ªÉÄð£À
GzÁºÀgÀuÉAiÀİè, 
ªÀiÁ¦ð£À
UÀÄuÁAPÀ = (4.728*100)/37.2  =12.68
5.5 GzÁ. 4: A ªÀÄvÀÄÛ B  JA§ E§âgÀÄ QæPÉmï DlUÁgÀgÀÄ 6 E¤AUïìUÀ¼À°è UÀ½¹zÀ gÀ£ÀÄßUÀ¼ÀÄ »ÃVzÉ:-
| A DlUÁgÀ | 48 | 50 | 54 | 46 | 48 | 54 | 
| B DlUÁgÀ | 46 | 44 | 43 | 46 | 45 | 46 | 
F ªÉÄð£À E§âgÀ°è
AiÀiÁgÀÄ GvÀÛªÀÄ ¸ÉÆÌÃgÀgï? AiÀiÁgÀÄ ºÉZÀÄÑ ¹ÜgÀvÉ ºÉÆA¢zÁÝgÉ?
«zsÁ£À:
F E§âgÀ ¹ÜgÀvÉAiÀÄ£ÀÄß
PÀAqÀÄ»rAiÀÄ®Ä ªÀiÁ¦ð£À UÀÄuÁAPÀ PÀAqÀÄ»rAiÀĨÉÃPÀÄ.
GzÁ. (5.1)gÀ°è F A DlUÁgÀgÀ gÀ£ÀÄßUÀ¼À ¸ÀgÁ¸Àj
ªÀÄvÀÄÛ ªÀiÁ£ÀPÀ «ZÀ®£ÉAiÀÄ£ÀÄß ¯ÉPÀÌ ªÀiÁrzÉÝêÉ.
CAPÀUÀtÂvÀ ¸ÀgÁ¸Àj =
50
ªÀiÁ£ÀPÀ «ZÀ®£É =
3.05
 ªÀiÁ¦ð£À UÀÄuÁAPÀ =
ªÀiÁ¦ð£À UÀÄuÁAPÀ *100/¸ÀgÁ¸Àj = 3.05*100/50 = 6.1%
ªÀiÁ¦ð£À UÀÄuÁAPÀ =
ªÀiÁ¦ð£À UÀÄuÁAPÀ *100/¸ÀgÁ¸Àj = 3.05*100/50 = 6.1%
FUÀ B DlUÁgÀ£À ¸ÀgÁ¸Àj ªÀÄvÀÄÛ ªÀiÁ¦ð£À UÀÄuÁAPÀ PÀAqÀÄ»rAiÀÄĪÁ.
 ¸ÀgÁ¸Àj = 270/6 = 45
¸ÀgÁ¸Àj = 270/6 = 45
| ¸ÀA. | gÀ£ÀÄßUÀ¼ÀÄ(X) | «ZÀ®£É(D) d= X- |        d2 | 
| 1 | 46 | 1 | 1 | 
| 2 | 44 | -1 | 1 | 
| 3 | 43 | -2 | 4 | 
| 4 | 46 | 1 | 1 | 
| 5 | 45 | 0 | 0 | 
| 6 | 46 | 1 | 1 | 
|  | 
 | 
 | 
 | 
ªÀiÁ£ÀPÀ «ZÀ®£É,
 =
 =  (
 ( /N)=
/N)=  (8/6) =
 (8/6) = (1.33) = 1.15
 (1.33) = 1.15
 ªÀiÁ¦ð£À UÀÄuÁAPÀ = ªÀiÁ£ÀPÀ «ZÀ®£É *100/¸ÀgÁ¸Àj
= 1.15*100/45 =2.55%
ªÀiÁ¦ð£À UÀÄuÁAPÀ = ªÀiÁ£ÀPÀ «ZÀ®£É *100/¸ÀgÁ¸Àj
= 1.15*100/45 =2.55%
¥sÀ°vÁA±À:
1. AAiÀÄ ¸ÀgÁ¸ÀjAiÀÄÄ BVAvÀ
ºÉZÀÄÑ (50>45) DzÀÝjAzÀ AAiÀÄÄ B VAvÀ GvÀÛªÀÄ
¸ÉÆÌÃgÀgï.
2. BAiÀÄ ªÀiÁ¦ð£À UÀÄuÁAPÀ  A VAvÀ
PÀrªÉÄ  (1.15<6.1) DzÀÝjAzÀ BAiÀÄÄ  ºÉZÀÄÑ ¹ÜgÀ DlUÁgÀ.
5.5 GzÁ. 5:
MAzÀÄ ¥ÀjÃPÉëAiÀİè 10£Éà vÀgÀUÀwAiÀÄ A ªÀÄvÀÄÛ
B «¨sÁUÀzÀ «zÁåyðUÀ¼ÀÄ UÀ½¹zÀ CAPÀUÀ¼ÀÄ »ÃVªÉ:-
| CAPÀUÀ¼ÀÄ | A  «¨sÁUÀzÀ «zÁåyðUÀ¼À ¸ÀASÉå | B «¨sÁUÀzÀ «zÁåyðUÀ¼À ¸ÀASÉå | 
| 25-30 | 5 | 5 | 
| 30-35 | 10 | 12 | 
| 35-40 | 25 | 20 | 
| 40-45 | 8 | 8 | 
| 45-50 | 2 | 5 | 
AiÀiÁªÀ «¨sÁUÀzÀ
¸ÁzsÀ£É GvÀÛªÀĪÁVzÉ? AiÀiÁªÀ «¨sÁUÀzÀ ¸ÁzsÀ£É ºÉZÀÄÑ C¹ÜgÀ? F ¸ÀªÀĸÉå ©r¸À®Ä,
CAPÀUÀtÂvÀ ¸ÀgÁ¸Àj ªÀÄvÀÄÛ ªÀiÁ¦ð£À UÀÄuÁAPÀ ¨ÉÃPÀÄ.
5.5. gÀ GzÁºÀgÀuÉ
3 gÀ°è A «¨sÁUÀzÀ ¸ÀgÁ¸Àj ªÀÄvÀÄÛ ªÀiÁ£ÀPÀ «ZÀ®£ÉUÀ¼À£ÀÄß ¯ÉPÀÌ ªÀiÁrzÉÝêÉ.
CAPÀUÀtÂvÀzÀ ¸ÀgÁ¸Àj =37.2
ªÀiÁ£ÀPÀ «ZÀ®£É =4.728
 ªÀiÁ¦ð£À UÀÄuÁAPÀ =
ªÀiÁ£ÀPÀ «ZÀ®£É*100/¸ÀgÁ¸Àj = 4.728*100/37.2 =12.7%
ªÀiÁ¦ð£À UÀÄuÁAPÀ =
ªÀiÁ£ÀPÀ «ZÀ®£É*100/¸ÀgÁ¸Àj = 4.728*100/37.2 =12.7%
FUÀ B
¨sÁUÀPÉÌ ¸ÀgÁ¸Àj ªÀÄvÀÄÛ ªÀiÁ£ÀPÀ «ZÀ®£ÉAiÀÄ£ÀÄß
‘ºÀAvÀ-«ZÀ®£À’ PÀæªÀÄzÀ°è PÀAqÀÄ»rAiÀÄĪÁ.
ºÀAvÀ
1: CAzÁf£À ¸ÀgÁ¸Àj: A =38 DVgÀ°. (A=28,33,43,48 AiÀiÁªÀÅzÀÆ
DUÀ§ºÀÄzÀÄ)
ºÀAvÀ
2: CAzÁf£À ¸ÀgÁ¸Àj¬ÄAzÀ ºÀAvÀ «ZÀ®£ÉAiÀÄ£ÀÄß (d)
¯ÉPÀ̺ÁQ. 
 d=(X-A)/i: ‘i’  ªÀUÁðAvÀgÀzÀ UÁvÀæ =
5.
ºÀAvÀ
3: ¥Àæwà ªÀUÁðAvÀgÀPÀÆÌ d2,
f*d, f*d2 PÀAqÀÄ»r¬Äj.
ºÀAvÀ
4:¸ÀgÁ¸Àj ªÀÄvÀÄÛ ªÀiÁ£ÀPÀ «ZÀ®£ÉUÀ¼À£ÀÄß F PɼÀV£ÀAvÉ
¯ÉPÀÌ ºÁQ.
CAPÀUÀtÂvÀzÀ ¸ÀgÁ¸Àj =
 = A+ [
 = A+ [ /N]*i
/N]*i  
ªÀiÁ£ÀPÀ «ZÀ®£É = ( ) =
) =  [ (fd2)/N-
{ (fd)/N} 2]*i:
 [ (fd2)/N-
{ (fd)/N} 2]*i:
| CAPÀUÀ¼ÀÄ | DªÀÈwÛ (f) | ªÀÄzsÀå ©AzÀÄ (x) | d=(X-A)/i | fd | d2 | fd2 | 
| 25-30 | 5 | 28 | -2 | -10 | 4 | 20 | 
| 30-35 | 12 | 33 | -1 | -12 | 1 | 12 | 
| 35-40 | 20 | 38 | 0 | 0 | 0 | 0 | 
| 40-45 | 8 | 43 | 1 | 8 | 1 | 8 | 
| 45-50 | 5 | 48 | 2 | 10 | 4 | 20 | 
|  | N = |  |  | 
 |  | 
 | 
CAPÀUÀtÂvÀ ¸ÀgÁ¸Àj
=  = A+ [(
 = A+ [( )/N]*i
)/N]*i  
    = 38 +[(-4/50)*5] 
    = 38+ -0.08*5 = 43-0.4  = 37.6
ªÀiÁ£ÀPÀ «ZÀ®£É:
( ) =
) =  [
 [ (f*d2)/N - (
(f*d2)/N - ( (f*d)/N)2]*i
(f*d)/N)2]*i
       =  [(60/50)- {-4/50}
2]*5
 [(60/50)- {-4/50}
2]*5 
       =  [1.2 - {-0.08} 2]*5
 [1.2 - {-0.08} 2]*5
       =  [1.2 – 0.0064]*5
 [1.2 – 0.0064]*5
       =  [1.1936]*5
 [1.1936]*5
       =1.0925*5 =5.4625
 ªÀiÁ¦ð£À UÀÄuÁAPÀ =
ªÀiÁ£ÀPÀ «ZÀ®£É*100/¸ÀgÁ¸Àj= 5.4625*100/37.6 
= 14.52%
ªÀiÁ¦ð£À UÀÄuÁAPÀ =
ªÀiÁ£ÀPÀ «ZÀ®£É*100/¸ÀgÁ¸Àj= 5.4625*100/37.6 
= 14.52%
wêÀiÁð£À:
1. B «¨sÁUÀzÀ ¸ÀgÁ¸Àj CAPÀªÀÅ A «¨sÁUÀQÌAvÀ
ºÉaÑzÉ (37.6>37.2), DzÀÝjAzÀ
BAiÀÄ ¸ÁzsÀ£É AVAvÀ
GvÀÛªÀÄ. 
2. BAiÀÄ ªÀiÁ¦ð£À UÀÄuÁAPÀªÀÅ A «¨sÁUÀQÌAvÀ
ºÉaÑzÉ (14.52>12.7), DzÀÝjAzÀ
B AiÀÄ ¸ÁzsÀ£ÉAiÀÄÄ A «¨sÁUÀQÌAvÀ ºÉZÀÄÑ C¹ÜgÀ.
5.5 GzÁ. 6:
MAzÀÄ PÉÊUÁjPÁ ¥ÀæzÉñÀzÀ°è A ªÀÄvÀÄÛ BUÀ¼ÉA§ JgÀqÀÄ
PÁSÁð£ÉUÀ¼À°è PÉÆqÀĪÀ ¸ÀgÁ¸Àj ªÁgÀzÀ ªÉÃvÀ£À ªÀÄvÀÄÛ ªÀiÁ£ÀPÀ «ZÀ®£É »ÃVzÉ:-
| PÁSÁð£É | ¸ÀgÁ¸Àj
  ªÉÃvÀ£À (gÀÆ.UÀ¼À°è) | ªÉÃvÀ£À
  ªÀiÁ£ÀPÀ «ZÀ®£É (gÀÆ.) | 
| A | 34.5 | 6.21 | 
| B | 28.5 | 4.56 | 
AiÀiÁªÀ PÁSÁð£ÉAiÀİè
ªÉÃvÀ£ÀzÀ°è ºÉZÀÄÑ vÁgÀvÀªÀÄå«zÉ?
«zsÁ£À:
FUÀ £ÁªÀÅ ªÀiÁ¦ð£À
UÀÄuÁAPÀªÀ£ÀÄß PÀAqÀÄ »rAiÀĨÉÃPÀÄ.
A PÁSÁð£ÉAiÀÄ
ªÀiÁ¦ð£À UÀÄuÁAPÀ = ªÀiÁ£ÀPÀ «ZÀ®£É*100/¸ÀgÁ¸Àj = 6.21*100/34.5 = 18%
B PÁSÁð£ÉAiÀÄ
ªÀiÁ¦ð£À UÀÄuÁAPÀ = ªÀiÁ£ÀPÀ «ZÀ®£É
*100/¸ÀgÁ¸Àj 
= 4.56*100/28.5 = 16% 
A PÁSÁð£ÉAiÀÄ
ªÀiÁ¦ð£À UÀÄuÁAPÀªÀÅ B PÁSÁð£ÉAiÀÄ
zÀgÀQÌAvÀ ºÉZÀÄÑ (18>16).
DzÀÝjAzÀ A PÁSÁð£ÉAiÀÄ°è ªÉÃvÀ£ÀzÀ°è
ºÉZÀÄÑ vÁgÀvÀªÀÄå«zÉ.
(A PÁSÁð£ÉAiÀİè
£ËPÀjUÉ ºÉZÀÄÑ ªÉÃvÀ£ÀªÀ£ÀÄß PÉÆlÖgÀÆ ¸ÀºÀ, CªÀgÀ ªÉÃvÀ£ÀUÀ¼À°è ºÉZÀÄÑ
vÁgÀvÀªÀÄå«zÉ.)
5.5 PÀ°vÀ ªÀÄÄSÁåA±ÀUÀ¼ÀÄ
X = ¥Áæ¥ÁÛAPÀUÀ¼À
UÀt
 = CAPÀUÀtÂvÀzÀ ¸ÀgÁ¸Àj
(AM)
 = CAPÀUÀtÂvÀzÀ ¸ÀgÁ¸Àj
(AM)
d = ¸ÀgÁ¸Àj¬ÄAzÀ
«ZÀ®£É.
f = ªÀiË®åUÀ¼À DªÀÈwÛ.
i = ªÀUÁðAvÀgÀzÀ UÁvÀæ.
x= ªÀUÁðAvÀgÀzÀ
ªÀÄzsÀå ©AzÀÄ.
| ¸ÀA. | ¸ÀAzÀ¨sÀð | DAiÉÄÌ | N= | AM= | «ZÀ®£É (d) | ªÀiÁ£ÀPÀ «ZÀ®£É( | 
| 1 | ©r ªÀiË®åUÀ¼ÀÄ |  | ¥Áæ¥ÁÛAPÀUÀ¼À ¸ÀASÉå | 
 | X-  | 
 | 
| A=AiÀiÁªÀÅzÉà ¥Áæ¥ÁÛAPÀ | ¥Áæ¥ÁÛAPÀUÀ¼À ¸ÀASÉå | 
 | X-A | 
 | ||
| 2 | DªÀvÀð EgÀĪÀ ªÀiË®åUÀ¼ÀÄ |  | 
 | 
 | X- | 
 | 
| A=AiÀiÁªÀÅzÉà ¥Áæ¥ÁÛAPÀ | 
 | 
 | X-A | 
 | ||
| 3 | DªÀvÀð EgÀĪÀ ªÀUÁðAvÀgÀ  |  | 
 | 
 | X-  | 
 | 
| A =AiÀiÁªÀÅzÉà ¥Áæ¥ÁÛAPÀ | 
 | 
 | d=(X-A)/i | 
 | 
¸ÀÆZÀ£É: ªÀiÁ£ÀPÀ
«ZÀ®£ÉUÉ AiÀiÁªÁUÀ®Æ ¸ÁªÀiÁ£Àå ¸ÀÆvÀæ £É£À¦r:-

ªÀVðÃPÀgÀt ªÀiÁqÀzÉÃ
EgÀĪÀ/DªÀvÀð E®èzÉà EgÀĪÀ ¸ÀAzÀ¨sÀðzÀ°è , f=1, i=1 DzÉò¹, ¸ÀªÀĸÉåUÉ ¸ÀjAiÀiÁzÀ ¸ÀÆvÀæ ¥ÀqɬÄj.
AiÀiÁªÀÅzÉÃ
ªÀiË®åªÀ£ÀÄß CAzÁdÄ ¸ÀgÁ¸ÀjAiÀiÁV vÉUÉzÀÄPÉÆ¼Àî¢zÁÝUÀ,  =0
=0